Dedicated Diode Mounting Unit, independently mounted ideal vacuum diode with transparent acrylic safety shield allows clear observation of diode operation while protecting glass components. Socket features marked schematic diagram for enhanced conceptual understanding
Accurate anode current measurement module: the anode current measurement module uses a micro-amp current amplifier and a four and a half digital display meter, with a measurement range of up to 0.1uA~20mA, which can measure weak anode current accurately, finely and stably.
Stable anode voltage output module: the anode voltage output uses a linear power supply, and the output amplitude reaches 0~160.0V, which can provide the anode voltage of the vacuum diode stably and efficiently.
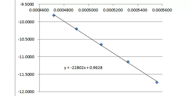
Measurement experiment of Metal Electric Work Function (work function).
Learn basic experimental methods such as Richardson's straight line measurement method, epitaxy measurement method and compensation measurement.
No. | Part | Specifications |
1 | Metal Electric Work Function Experiment Apparatus | Anode Voltage Module: Adjustable voltage range from 0 to 160VDC Anode Current Module: Measuring range is 0 to 20mA Filament Current Module: Adjustable range from 0 to 800mA |
2 | Ideal Vacuum Diode Box | Filament material: Pure tungsten Anode material: Nickel Filament current: 0.50 - 0.80 A |
No. | Part | Model | Qty |
1 | Metal Electron Work Function Apparatus | BEM-5715 | 1 |
2 | Ideal Vacuum Diode Assembly | BEM-5716 | 1 |
3 | 4mm Red Banana Lead, red | BC-105084 | 2 |
4 | 4mm Red Banana Lead, black | BC-105083 | 2 |
5 | 4mm Black Banana Lead (sheathed), black | BC-105073 | 1 |
6 | 4mm Black Banana Lead (sheathed), red | BC-105074 | 1 |
7 | Power cord | BC-105075 | 1 |
8 | 8-Pin DIN Extension Cable | BC-105077 | 2 |
UI-5400 Capstone Data Acquisition Software
UI-5000 850 Universal Interface
PS-3211 Wireless Voltage Sensor (2 units)
