Dedicated Diode Mounting Unit
Independently mounted vacuum diode with transparent safety shield
Integrated Solenoid Coil
560-turn solenoid for precise magnetic field alignment
High-Precision Measurement Unit
Microampere-level amplifier with 4.5-digit display (0.1μA-20mA)
Stable Voltage Supply
Linear tunable power supply (0-160.0V DC), ripple-free
Advanced Data Acquisition
Dual PASCO interfaces for real-time data collection
Determination of Metal Electron Work Function
Electron Motion in Combined Electric and Magnetic Fields (e/m Measurement)
Investigation of Fermi-Dirac Distribution
Current-Voltage Characterization of Ideal Vacuum Diodes
No. | Part | Specifications |
1 | Main Console |
|
2 | DC Power Supply |
|
3 | Vacuum Diode |
|
4 | Solenoid | 560 turns |
# | Parts | Model | Qty. |
1 | Metal Electron Work Function Apparatus | BEM-5715 | 1 |
2 | Tunable DC Power Supply | BEM-5055 | 1 |
3 | Ideal Vacuum Diode Assembly | BEM-5716 | 1 |
4 | Solenoid Coil | BC-201026 | 1 |
5 | 2mm Red Banana Leads (sheathed) | BC-104087 | 2 |
6 | 2mm Black Banana Leads (sheathed) | BC-104088 | 2 |
7 | 4mm Red Banana Lead | BC-105084 | 1 |
8 | 4mm Black Banana Lead | BC-105083 | 1 |
9 | 4mm Black Banana Lead (sheathed) | BC-105073 | 1 |
10 | 4mm Red Banana Lead (sheathed) | BC-105074 | 1 |
11 | Power Cord | BC-105075 | 1 |
12 | 8-pin Interface Cable | BC-105077 | 2 |
Experiment 1: Work Function Determination
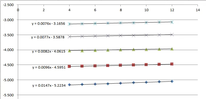
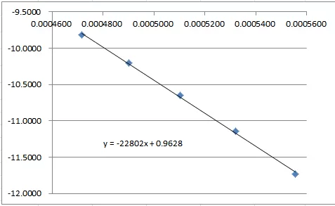
Table 1: Anode current characteristics versus voltage and temperature


Table 2: Richardson analysis parameters


Experiment 2: Charge-to-Mass Ratio Measurement

Experiment 3: Fermi-Dirac Distribution Study


Experiment 4: Diode I-V Characterization

UI-5400 Capstone Data Acquisition Software
UI-5000 850 Universal Interface
PS-3211 Wireless Voltage Sensor (2 units)
